물리역학 목차보기
[INTRO] 물리역학 미리보기
물리역학은 물체의 운동에 대해 체계적으로 정리한 고전역학이다. 절대적 기준의 좌표계를 이용하여 물체의 운동을 기술하는 물리역학은 미래를 정확히 예측하고자 하는 인간의 욕망에서 비롯
hookspedia.tistory.com
INTRO
물체의 운동법칙을 기술하는 뉴턴의 제1,2, 그리고 3법칙에 대해서 알게 되었다. 힘은 결국 질량에 의해서 계산되던데, 그러면 질량은 어떻게 측정하는 것인가?
속도의 시간 변화와 질량이 만드는 힘
가속도는 속도의 시간 변화량이다. 0에 한없이 가깝지만 0이 아닌 시간 동안에 변화하는 속도를 가속도로 정의하는 것이다. 속도를 v라 할 때, 가속도 a는 수식적으로 다음과 같이 나타낸다.

이 속도 물리량은 방향과 크기가 모두 존재하는 벡터량이다.
가속도의 공식을 앎으로써, 우리는 질량을 계산하는 기본적인 방법에 대한 힌트를 얻었다. 바로 동일한 힘이 작용할 때 물체의 운동량을 비교하는 것이다.
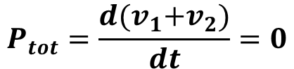
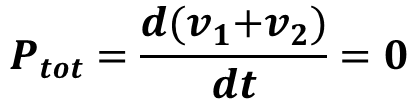
운동량 보존의 법칙
역학에서 운동량은 속도와 질량의 곱으로 나타낸다. 이 운동량은 다음과 같이 기호 p를 사용하여 기술한다.

운동량 보존의 법칙은 질량 m의 어떤 물체가 속도 v로 이동할 때, 그 운동량 p는 변하지 않는다는 법칙이다. 따라서 충돌하는 두 물체는 계의 총운 동량은 항상 보존된다.


* 위의 계는 탄성 정도가 1이고, 모든 마찰력은 고려하지 않은 상황이다.
이 운동량의 보존 법칙을 이용하면, 두 물체의 속도비를 이용하여 질량을 비교하는 것이 가능하다. 따라서, 고전적으로 질량을 측정한다는 것은 이 속도 비를 이용하는 방법이 존재하겠다.
* 다음 강의는 힘과에너지의 기본 성질입니다.
[Section 1] 힘과 에너지의 기본 성질
물리역학 목차보기 [INTRO] 물리역학 미리보기 물리역학은 물체의 운동에 대해 체계적으로 정리한 고전역학이다. 절대적 기준의 좌표계를 이용하여 물체의 운동을 기술하는 물리역학은 미래를
hookspedia.tistory.com
'PHYSICS > Mechanics' 카테고리의 다른 글
| [Section 1] 에너지 방정식 (0) | 2022.02.16 |
|---|---|
| [Section 1] 힘과 에너지의 기본 성질 (0) | 2022.02.15 |
| [Section 1] 물체의 운동 법칙 (0) | 2021.12.11 |
| [Section 1] 관성 기준계(Inertial Reference system) (0) | 2021.11.11 |